Převodníky analogových a číslicových signálů
Převodníky umožňující transformaci číslicově vyjádřené informace na analogové napětí a naopak zaujímají v řídícím systému klíčové postavení. Značná část měřených veličin bývá obvykle zaznamenána ve formě časově spojitého průběhu analogového napětí a do číslicové formy se musí převést pomocí převodníku. Převodníky tedy umožňují propojení mezi analogovou a číslicovou částí řídícího systému. Přesnost a rychlost převodu použitých převodníků je jedním z hlavních faktorů určujících použitelnost a kvalitu celého řídícího systému.
8.1. Číslicově analogový převodník
Číslicově analogové převodníky neboli převodníky číslo-napětí (zkráceně převodník Č/N nebo D/A) zabezpečují transformaci informace vyjádřenou v číslicové formě na analogové napětí. U D/A převodníku využíváme vlastnosti operačního zesilovače u kterého je zesílení prakticky určeno zpětnou vazbou. Principielní zapojení čtyřbitového převodníku je na obr.8.1

Obr. 8.1
Výstupní napětí převodníku z obr. 8.1. je:
![]()
![]()
Jestliže chceme vícebitový převodník, musíme zapojit další systém s odporem R/16, R/32, atd.
Požadavky na přesnost odporů v síti převodníku se zvyšují se zvyšujícím se počtem bitů vstupního čísla. Aby změna výstupního napětí způsobená změnou nejméně významného bitu (LSB) nebyla menší než chyba převodu způsobená chybou velikosti odporu u bitu s vahou n platí pro maximální odchylku odporu DRn vztah:
DRn / Rn = 1 / 2n
kde Rn je velikost odporu u bitu s vahou n. Takže pro n = 4 je povolena tolerance odporu 6% zatímco pro n = 10 je maximální dovolená tolerance odporu 0.1%.
Jako spínačů se používá obvykle tranzistorů v inverzním zapojení tak, aby chyba způsobená saturačním napětím byla co nejmenší. U inverzního zapojení je saturační napětí řádu mV takže při referenčním napětí Uref = 10 V je chyba způsobená saturačním napětím řádu jednotky promile. Příklad zapojení je na obr. 8.2

Obr. 8.2
Zapojení uvedené na obr. 8.1 a 8.2 mají nevýhodu v tom, že odpor sítě se mění v závislosti na vstupním čísle (Q3, Q2, Q1, Q0). U reálného operačního zesilovače tak může vzniknout chyba ve výstupním napětí způsobená změnou vstupního proudu. Aby odpor sítě byl nezávislý na vstupním čísle, je zapojení modifikováno podle obr. 8.3.

Obr. 8.3
V zapojení na obr. 8.3 jsou jednotlivé větve sítě připojeny buď na zem nebo na zdroj napětí Uref .Pak za předpokladu, že vnitřní odpor zdroje Uref Rg je zanedbatelný je odpor sítě Ri.
![]()
a ![]()
Zapojení používající komplementárních tranzistorů jako spínačů je uvedeno na obr.8.4.

Obr. 8.4
U dosud uvedených zapojení ke každému bitu s různou vahou přísluší jiná velikost odporů v síti. Tato skutečnost je na závadu zejména pro převodníky vyrobené v integrované monolitické formě. Z tohoto důvodu bylo vyvinuto zapojení využívající odporu jedné velikosti. Principielní zapojení je na obr. 8.5.

Obr. 8.5
Pro výstupní napětí platí vztah
![]()
Převodník D/A z B C
D kódu na analogový signál je možno provést tak, že v
základním zapojení z obr. 8.1 volíme v jednotlivých blocích
převodu dekadických čísel (4 bity) základní odpory v
poměru
atd; principielní zapojení je na obr.
8.6.

Obr. 8.6
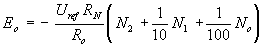
Pro výstupní napětí platí vztah:
(8.1)
kde N2, N1, N0 je číslo v B C D kódu.
Abychom odstranili opět nevýhodu spočívající v tom, že každý obvod má jinou hodnotu základního odporu, můžeme použít následující zapojení, kde každý obvod má stejný základní odpor R. V tomto případě je použit pro každou číslici čtyřbitový blok z obr. 8.5 a bloky jsou zapojeny do sítě podle obr. 8.7.

Obr. 8.7
Napětí na výstupu je pak:
![]()
kde N2,N1,N0 je číslo v B C D kódu.
8.2. Analogově-číslicové převodník
Převodníky analogového signálu v číslicový (zkráceně převodník N/ Č nebo A/D jsou povětšině založeny buď na principu transformace napětí na jinou fyzikální veličinu (většinou čas), která se snadněji digitalizuje nebo na komparačním principu, tj. srovnáváním převáděného analogového napětí s proměnným napětím vytvářeným např. pomocí převodníku D/A. V okamžiku, kdy rozdíl mezi srovnávanými napětími je menší než určitá mez, se převod zastaví a zobrazí se vstupní číslo D/A převodníku.
8.2.1. Převodník využívající dvojnásobné analogové integrace
Tento převodník je typickým představitelem převodníku kde se analogový signál transformuje na časový interval, který se digitalizuje. Základním obvodem je analogový integrátor (obr. 8.8). Ke vstupu integrátoru se nejprve na přesně stanovený časový interval t 1 přivede analogový signál Ux > 0. Poté se na vstup integrátoru připne referenční napětí Uref opačného znaménka než Ux. Komparátor určuje okamžik, kdy výstupní napětí integrátoru je rovno nule. Časový interval mezi okamžikem připojení napětí Uref na vstup integrátoru a překlopení komparátoru označíme t 3. Časové intervaly t 1 a t 3 měříme jako násobky přesného hodinového intervalu t 2 .
Vyjádříme-li časový interval t 1 pomocí hodinového intervalu
t = mt2,
je napětí na výstupu integrátoru na konci intervalu t 1 rovno:
![]()
Po připojení Uref na vstup integrátoru napětí na výstupu se zmenšuje podle vztahu
![]()
kde jsme použili vztahu (8.1), t je čas počítaný od okamžiku připojení Uref na vstup integrátoru.
Je-li t = t3 je E0 = 0 a
(8.2)
Vztah (8.2) ukazuje, že časový interval t3 je úměrný převáděnému analogovému signálu Ux. Časový interval t3 snadno vyjádříme v číslicové formě pomocí hodinových impulsů a čítače. Přívod hodinových impulsů na vstup čítače blokujeme pomocí řídících signálů A1 a A2, které nám vymezují časový interval t3. Signál A1 je generován komparátorem a nabývá pro E0 < 0 hodnoty log 1. Pro E0 = 0 se signál A1 změní z log 1 na log 0. Řídící signál A2 je generován obvodem řídící logiky. Na začátku převodu má signál A2 hodnotu log 0. V okamžiku připojení Uref na vstup integrátoru nabude hodnoty log 1 .Číselný údaj čítače je tedy podle vztahu (8.2) úměrný převáděnému napětí Ux. Průběh napětí E0 a řídících signálů A1 a A2 je uveden na obr. 8.9. Výhodou uvedeného zapojení je, že v konstantě úměrnosti ve vztahu (8.2) není časová konstanta integrátoru t1 = RC .Tato časová konstanta se může s časem, teplotou i jinými vlivy měnit, což by ovlivňovalo přesnost převodu. Obvykle se uvádí výstupní hodnota převodníku v B C D kódu. Dosahuje se přesnosti 4 1/2 až 5 1/2 platných číslic ( jedna polovina znamená, že nejvíce významná číslice může nabýt hodnoty pouze 1 nebo 0). Převodníky s dvojnásobnou integrací jsou jedny z nejpřesnějších, jejich nevýhodou je však relativně dlouhá doba převodu řádu 100 msec.

Obr.8.8

Obr.8.9
8.2.2. Převodník komparačního typu
Jako první příklad převodníku komparačního typu si uvedeme převodník, který s určitou rychlostí sleduje změny vstupního analogového napětí, které se má převádět. Principielní zapojení je na obr. 8.10.

Obr. 8.10
Převáděné napětí Ux je přivedeno na komparátor, kde se srovnává s výstupním napětím převodníku D/A. Převodník D/A je řízen vratným čítačem (viz. obr. 5.38) jehož směr čítání je řízen komparátorem. Čítač čítá hodinové impulsy vpřed v případě, že pro proud ix = (Ux/R) a pro proud ze sítě převodníku D/A is platí vztah
ix + is > 0
v opačném případě
ix + is < 0
čítač čítá vzad.
Bit s nejvyšší vahou u převodníku D/A má význam znaménkového bitu. Je připojen na kladné referenční napětí (+Uref ). Ostatni bity jsou připojeny na záporné referenční napětí. Proud ze sítě převodníku D/A pak můžeme vyjádřit vztahem:

Kde Qz je znaménkový bit s nejvyšší vahou, Qn ostatní bity, j počet bitů převodníku včetně znaménkového, n váha jednotlivých bitů. Převodník vyjadřuje převáděné napětí číslem ve dvojkovém kódu, které je násobkem napětí o velikosti (Uref /2j). Záporné napětí je vyjádřeno doplňkem do dvou. V případě, že se napětí na vstupu převodníku mění, je probíraný převodník schopen s určitým zpožděním sledovat změny vstupního napětí. Dá se dokázat, že převodník je schopen sledovat časovou rychlost vn = (Du / Dt) změny vstupního napětí DU:

kde f je frekvence hodinových impulsů.
Pro frekvenci f = 1 MHz a desetibitový převodník je při Uref = 10 V vn » (10 mV/1 m sec). To znamená, že převodník je schopen sledovat vstupní napětí, jehož maximální časová změna nepřesáhne 10 mV za 1 m sec.
V případě, že výstup převodníku požadujeme v BCD kódu (např. pro optickou indikaci) je nutné aby převodník D/A byl převodníkem z BCD kódu.
Jako další příklad komparačního převodníku si uvedeme paralelní převodník. Jeho základem je 2j -1 komparátorů. Na jedny vstupy komparátorů přivádíme převáděné napětí Ux .Na druhé vstupy přivádíme násobky napětí Uref tak, že rozdělíme Uref na 2j diskretních hladin o stálém napětovém rozdílu mezi hladinami DU = (Uref/2j). Jestliže napěťovou úroveň první nenulové hladiny posuneme na DU/2 pak výstup prvního komparátoru se změní z log 0 na log 1 v případě, že Ux > DU/2. Výstup druhého komparátoru se změní pro Ux > (3 DU/2) atd. Výstupy komparátorů vedeme na dekodér pomocí něhož každému napěťovému intervalu mezi dvěma hladinami přiřadíme binární číslo. Napětí Ux můžeme pak vyjádřit tímto číslem:
Napěťovému intervalu:
![]()
přiřadíme pro j = 8 číslo
0000 0001
Digitalizace převáděného napětí pak vnáší do převodu chybu (DU/2), což v případě, že j = 8 je menší než 0.2% maximální hodnoty. Přesnost osmibitového paralelního převodníku odpovídá tedy běžné chybě analogových voltmetrů. Počet komparátorů je však pro osmibitový převodník 255 ,což je neúnosně mnoho. Za rozumnou hranici je možno považovat 4 bitový paralelní převodník. Jeho principielní zapojení je na obr. 8.11. Pro vícebitové převodníky je možno použít seriově-paralelní převodník.

Obr.8.11
Principielní zapojení pro j =8 je na obr. 8.12. Převáděné napětí Ux je nejprve přivedeno na první čtyřbitový převodník pomocí něhož získáme první čtyři bity (MSB). Tyto čtyři bity vedeme na D/A čtyřbitový převodník pomocí něhož dostaneme napětí UDA. Napětí UR = Ux - UDA je opět digitalizováno dalším čtyřbitovým převodníkem, čímž získáme další čtyři bity (LSB). Jinými slovy, prvním A/D převodníkem rozdělíme referenční napětí na 16 diskretních napěťových intervalů, které dalším A/D převodníkem rozdělíme do dalších 16 napěťových intervalů. Počet komparátorů v A/D převodnících tedy klesne pro j = 8 z 255 na 30 .Tato úspora se ovšem dosáhne za cenu prodloužení časového intervalu převodu. Přesto jsou seriově-paralelní A/D převodníky rychlé a např. u 8bitových převodníků může doba potřebná k převodu dosáhnout hodnoty řádově stovky nsec .

Obr. 8.12