| 5.1.3. Zapojení s invertujícím vstupem |
Zapojení zpětné vazby s invertujícím vstupem je na obr.5.2.a. Z obr. 5.2.a. je patrno, že pro proudy is, i1 a i0 platí výrazy:
obr. 5.2.a
.
Pro ideální operační zesilovač je Ri ® Ą ; pak is = 0 a i1 = io.
Pak
, (5.1)
kde 
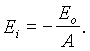
U ideálního operačního zesilovače vzhledem k tomu, že |A| ® Y , je Ei ® 0 a
.
Obdobně s pomocí operátorů můžeme psát pro obecné impedance Z0(p) a Z1(p)
. (5.2)
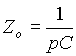
Jako příklad pro použití vztahu (5.2) probereme integrační obvod, jehož základní zapojení je patrno na obr. 5.2.b.
Z obr. 5.2.b plyne, že operátorové impedance
a
;
a originál je dán výrazem
dt
Vstupní impedanci Zvstup pro zapojení operačního zesilovače se zpětnou vazbou s invertujícím vstupem vypočítáme tak, že nejdříve vypočteme impedanci v součtovém bodě S.
U ideálního OZ je Rs ® 0 vzhledem k tomu, že | A |® Ą. Vstupní impedance se blíží R1, Zvstup ® R1. Obraťme nyní pozornost na zapojení s neinvertujícím vstupem.