1. Pasivní součásti elektrických obvodů.
V tomto učebním textu se budeme zabývat pouze tzv. obvody se soustředěnými parametry. To jsou obvody jak je známe z mnoha aplikací, např. podíváme-li se na obvodový modul starého televizoru, uvidíme na něm rezistory, kondenzátory a indukčnosti propojené vodivými drahami tištěného spoje (máme-li velmi starý televizor, je propojení provedeno pomocí drátěných vodičů), o kterých je možné v prvním přiblížení předpokládat, že mají odpor zanedbatelný. Jinými slovy jednotlivé součásti elektrického obvodu jsou soustředěny v místech, kde je vidíme. Budeme-li však zvyšovat kmitočet, se kterým takový obvod pracuje, pak od určitého kmitočtu nebude možné předpokládat, že na celé ploše modulu bude mít např. napětí stejnou amplitudu, neboť za čas, který signál potřebuje, aby prošel od jednoho konce desky ke druhému, se amplituda změní. Tento případ tedy nastává až při tak vysokých kmitočtech, kdy vlnová délka odpovídající kmitočtu bude srovnatelná s rozměry obvodu, který studujeme. Pro obvody rozměrů řádu cm to budou kmitočty řádu jednotek až desítek GHz (1GHz=109s-1), což odpovídá vlnové délce řádu desítek až jednotek cm, pro přenosová vedení elektrické energie, která mohou být dlouhá tisíce km to budou kmitočty řádu desítek Hz. Obvodům pracujícím s kmitočty, při kterých je odpovídající vlnová délka srovnatelná s rozměry obvodu, říkáme obvody s rozloženými parametry a nebudeme se jim v tomto učebním textu věnovat.
V elektrických obvodech se používají tři druhy pasivních součástek, které se liší způsobem, jakým zacházejí s elektrickou energií, která je jim dodávána. Oddělovat tyto tři druhy je idealizací, která je potřeba k jejich zavedení a může se jen více či méně blížit realitě v konkrétním případě. Jestliže se dodaná energie pouze disipuje (tedy z hlediska zdroje, který energii dodává, spotřebovává), pak tento prvek označujeme jako (ideální) rezistor. Velmi často se též používá pojmenování odpor, to však má pak dva významy jednak jako prvek obvodu, jednak jako hodnotové vyjádření schopnosti vést proud; používejme proto názvu rezistor. Pakliže se dodaná energie akumuluje ve formě magnetického pole, nazýváme tento prvek (ideální) cívkou. Často používaný název indukčnost má opět dva významy podobně jako odpor. V angličtině používaný název induktor (inductor) je v češtině také vícevýznamový (označuje přístroje vyrábějící vyšší napětí buď přerušováním stejnosměrného proudu a transformací nahoru, nebo mechanickým otáčením cívky v permanentím magnetickém poli - u telefonů) a proto jej také nelze doporučit. Je-li dodaná elektrická energie akumulována ve formě elektrického pole, hovoříme o (ideálním) kondenzátoru. Slovo kapacita ve významu prvku elektrického obvodu se sice občas používá, ale většinou nedochází k nedorozumění. V angličtině se používá pro tento prvek označení capacitor; slovu condenser budou sice také rozumět, ale pokládá se za archaismus. Hodnotové vyjádření schopnosti těchto prvků vést proud, eventuelně hromadit elektrickou energii ve formě magnetického nebo elektrického pole nazýváme po řadě odporem, indukčností a kapacitou (anglicky resistance, inductance, capacitance) a značíme R, L, C. V praxi se s ideálními prvky tak, jak byly zavedeny, nikdy nesetkáme. Rezistor bude mít vždy určitou kapacitu (mezi vývody) i indukčnost, cívka bude mít odpor vodiče, ze kterého je navinuta a kapacitu mezi závity a kondezátor bude mít určitý svodový odpor a mnohdy nezanedbatelnou indukčnost. V řadě praktických aplikací však můžeme tyto nežádoucí vlastnosti příslušného prvku zanedbat, neboť jejich vliv nepřesáhne mez přesnosti, se kterou budeme ten který obvod analyzovat. V komplikovanějších případech, kdy prosté zanedbání nelze provést, nahrazujeme jeden reálný prvek elektrického obvodu jeho náhradním zapojením složeným z ideálních prvků. Např. reálný rezistor je možné (pro vyšší kmitočty) nahradit sériovou kombinací ideálního rezistoru a indukčnosti; k této kombinaci je paralelně připojena kapacita, reálnou cívku ideální cívkou v serii s rezistorem; k této kombinaci je připojen paralelně kondenzátor reprezentující kapacitu vinutí a konečně reálný kondenzátor je možné nahradit ideálním kondenzátorem v serii s cívkou; k této kombinaci je paralelně připojen rezistor reprezentující svodový odpor. Uvedené náhradní reprezentace reálných obvodových prvků nejsou jediné možné a v praxi se jistě setkáte i s jinými náhradními schematy; jedno však mají všechny reprezentace společné a sice použití tří základních ideálních pasivních prvků, rezistoru, cívky a kondenzátoru. Všimněme si nyní proto vztahů mezi proudem a napětím na těchto základních součástech elektrických obvodů. V dalším budeme okamžité hodnoty, případně jejich časové závislosti označovat (tak jako dosud) malými písmeny, konstantní veličiny velkými písmeny eventuelně s indexem, např. Um bude maximální napětí, Ust střední hodnota napětí, E konstantní napětí apod.
Odpor, R. Napětí na svorkách ideálního rezistoru je úměrné proudu procházejícímu rezistorem podle empiricky zjištěného Ohmova zákona u(t)=R.i(t), kde R je odpor rezistoru. Odpor měříme v ohmech (W), W=V/A. Pro ideální rezistor tento vztah platí pro libovolnou závislost i(t), tedy nejen pro stejnosměrný proud nebo harmonickou časovou závislost i(t). Znaménkovou konvenci volíme podle obrázku 1.8.:

obr. 1.8
protéká-li proud rezistorem ve směru šipky, vytváří na rezistoru napětí orientací shodné se směrem proudu a tedy shora uvedená forma Ohmova zákona platí právě když jsou tyto orientace shodné; jsou-li orientace opačné, je třeba změnit znaménko napětí v této rovnici.
Podíváme-li se do katalogu prodejce odporů, najdeme u rezistorů kromě hodnoty odporu ještě tzv. výkonové zatížení uvedené ve wattech. To udává maximální výkonové zatížení, tj. výkon, který je rezistor schopen rozptýlit (odvést prouděním, vedením a radiací) aniž by se zahřál na teplotu, při které by došlo k jeho destrukci. Aby zařízení pracovalo spolehlivě je nutné rezistory vybírat tak, aby při provozu nedošlo k překročení této hodnoty, jinak je nebezpečí, že se dráha rezistoru přepálí, nebo že zvýšenou teplotou odpor změní hodnotu (jen u nejdražších rezistorů je garantována v určitém rozmezí teplot jejich teplotní závislost; u běžných rezistorů není většinou uvedeno ani znaménko teplotního koeficientu odporu). U odporů vysokých hodnot, u kterých je předpoklad, že se budou připojovat k vysokému napětí (běžné použití např. rezistoru s odporem 1000 GW je jako vysokonapěťového předřadníku k voltmetru), je spíše než maximální výkon uvedeno maximální napětí, které je možno na rezistor připojit. Vysokoohmové rezistory mají totiž odporovou dráhu vytvořenou ve tvaru spirály, kde jsou jednotlivé závity izolovány mezerou; pokud by povolené napětí bylo překročeno, hrozilo by nebezpečí průrazu mezi jednotlivými závity.
Rezistory se vyrábějí s odpory v normalizované řadě hodnot; tato řada je logaritmická a v jedné dekádě jsou např. hodnoty 1, 1.2, 1.5, 1.8, 2.2, 2.7, 3.3, 3.9, 4.7, 5.6, 6.8, 8.2, 10. Běžná tolerance hodnot je 10%, ale vyrábějí se i přesné rezistory s tolerancí 1% i lepší. Rezistory pro nižší výkonová zatížení jsou tzv. vrstvové, tj. materiálem je uhlíková nebo kovová tenká vrstva, pro vyšší výkony jsou to rezistory drátové, vinuté z odporového drátu. Rezistory se vyrábějí i v provedení s proměnným odporem, v tom případě se rezistor vybírá podle svého maximálního odporu (opět v normalizované řadě). Většinou jsou vyvedeny oba konce rezistoru a tzv. běžec; tento prvek je pak možné použít jak jako proměnný odpor, tak jako potenciometr. Malým potenciometrům určeným jen pro jediné (nebo občasné) nastavení se říká potenciometrické trimry. Potenciometry se vyrábějí jednak s průběhem odporu lineárním (v závislosti na úhlu otočení, jednak logaritmickým (pro regulaci hlasitosti, neboť ucho vnímá hlasitost přibližně logaritmicky). Změna polohy běžce na dráze rezistoru se děje buď otáčením osy potenciometru nebo posuvem běžce. Pro přesné nastavení se vyrábějí též tzv. spirálové víceotáčkové potenciometry s 5, 10 nebo 20 otáčkami; ty pak potřebují připevnit na osu specielní číselník, abychom mohli registrovat a později reprodukovat nastavení potenciometru.
Indukčnost, L. Prochází-li ideální cívkou konstantní proud, vytvoří se magnetické pole s nímž je spojen magnetický tok závity cívky. Mění-li se proud cívkou v závislosti na čase, mění se i magnetický tok a výsledkem je podle Faradayova zákona elektromagnetické indukce indukované napětí, které je dáno záporně vzatou časovou derivací magnetického toku. Indukované napětí závisí na geometrii cívky a je úměrné rychlosti změny proudu, u(t)=L.di/dt (záporné znaménko vypadlo vzhledem k zavedenému směru konvenčního proudu). Konstantu úměrnosti L nazýváme indukčností cívky a měříme v Henry (H), H=V.s/A (ověřte si, že takto zavedený H je shodný s výše uvedeným; použijte vztahu V=J/C). Rozměrná cívka s feromagnetickým jádrem má indukčnost řádu jednotek až desítek H, drobné cívky s několika závity a vzduchovým jádrem mají indukčnost v řádu µH.
V současnosti některé větší firmy jako např. japonská TDK vyrábějí cívky s feritovým jádrem a hodnotami indukčností v řadě obdobné řadě odporů rezistorů s hodnotami cca od 0.1 µH do 10 mH. Kromě indukčnosti se v katalogu uvádí maximální povolený proud cívkou, ohmický odpor vinutí, vlastní rezonanční kmitočet (indukčnost cívky spolu s vlastní kapacitou vinutí tvoří rezonanční obvod, jehož rezonanční kmitočet je možno měřit), a pro použití cívky jako prvku rezonančního obvodu doporučenou rezonanční frekvenci a minimální dosažitelnou kvalitu. Je-li z nějakého důvodu třeba proměnná indukčnost (např. jednorázové doladění rezonančního obvodu), provádí se změna indukčnosti posuvným feritovým jádrem cívky (jádro je v kostře cívky na závit a při ladění se jádrem otáčí šroubovákem z nemagnetického materiálu).
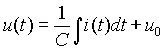
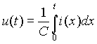
Kapacita, C. Napětí na svorkách kondenzátoru je úměrné náboji na jeho elektrodách, u(t)=(1/C).q(t). Převrácenou hodnotu konstanty úměrnosti nazýváme kapacitou kondenzátoru a měříme ve Faradech (F),F=C/V. Prochází-li kondenzátorem časově proměnný proud i(t), je napětí na kondenzátoru dáno jako

kde uo je možno interpretovat jako napětí odpovídající náboji na kondenzátoru před tím, než začal proud procházet. Problém integrační konstanty můžeme eliminovat zapíšeme-li vztah ve formě určitého integrálu

Kondenzátory se vyrábějí ve velkém množství druhů, lišících se druhem dielektrika a povoleným maximálním napětím. Vzpomenete-li si na jednoduchý vzorec pro kapacitu deskového kondenzátoru uvědomíte si, že kapacita je nepřímo úměrná vzdálenosti desek a že tedy kondenzátor s tenkým dielektrikem má při jinak stejných rozměrech větší kapacitu. Se zmenšující se tloušťkou dielektrika však roste elektrické pole, které je na dielektrikum přiloženo, až do takových hodnot, kdy dochází k tzv. lavinovitému průrazu materiálu, což způsobí zkrat mezi deskami většinou trvalého charakteru, tedy zničení kondenzátoru. Proto je nutné při koupi kondenzátoru vybírat vhodný typ tak, aby při provozu zařízení nedošlo k překročení maximálního povoleného provozního napětí na kondenzátoru. Dielektrikum kondenzátoru může být papír, slída, umělá hmota (tzv. styroflex), keramická vrstva nebo vrstva oxidu na kovu. Z hlediska největšího svodového odporu jsou nejlepší kondenzátory styroflexové (vyrábějí se v hodnotách do cca 10nF) a keramické (v hodnotách do cca 0.1 µF). Kapacity do řádově 10 µF můžeme obdržet v provedení MP (metalizovaný papír), větší hodnoty jen v tzv. provedení elektrolytickém. Jedná se o kovovou elektrodu, na které je vytvořena tenká vrstvička nevodivého oxidu, která slouží jako dielektrikum. Druhou elektrodu tvoří vodivý elektrolyt, který dokonale "přiléhá" k oxidové vrstvičce. Nevýhodou těchto kondenzátorů je fakt, že kovová elektroda musí být vždy připojena na vyšší potenciál než elektrolyt, jinak elektrolyt zničí dielektrikum a tím i kondenzátor. Tyto typy kondenzátorů se vyrábějí s kapacitami od 1 µF do několika tisíc µF, pokud mají elektrodu z hliníku; tzv. tantalové elektrolytické kondenzátory mají maximální kapacitu v řádu desítek µF. Tantalové kondenzátory mají výhodu v tom, že při průrazu dielektrika obvykle nedojde ke zničení, ale pouze ke snížení kapacity. Hodí se proto (i svojí vyšší cenou) do zařízení se zvýšenou spolehlivostí. Skutečně obrovské kapacity mají elektrolytické kondenzátory se zlatou elektrodou (tzv. Gold cap), které při provozním napětí cca 3-5V dosahují kapacit až do řádu 1F. Proměnné kondenzátory, tzv. kondenzátorové trimry se vyrábějí v provedení se slídovým, příp. styroflexovým, keramickým a skleněným dielektrikem a používají se zejména při nastavování pevně naladěných rezonančních obvodů při výrobě, kdy výrobní tolerance nedosahují přesnosti, se kterou musí být rezonanční obvod nastaven (a kdy indukčnost cívky není možno měnit, tj. např. když je vyrobena jako plošná spirála na tištěném spoji). Tzv. otočné kondenzátory, se vzduchovým nebo styroflexovým dielektrikem, dříve hojně používané v přijímačích pro ladění, byly prakticky úplně vytlačeny kapacitními diodami; zůstaly jen u těch aplikací, kde je na kmitavém obvodu a tedy i na kondenzátoru vysoké napětí.